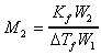
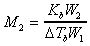
COLLIGATIVE PROPERTIES
|
| Solvent | B.P.
(oC) |
Kb
(oC / molal) |
M.P.
(oC) |
Kf
(oC / molal) |
| Water | 100.0 | 0.52 | 0.0 | 1.86 |
| Benzene | 80.2 | 2.53 | 5.50 | 5.12 |
| Carbon Tetrachloride | 76.6 | 5.03 | ||
| Camphor | 178.0 | 37.7 | ||
| Cyclohexane | 6.6 | 20.4 |
Cottrell boiling point apparatus, Beckman thermometer, micro-burner, solvent (CCl4), naphthalene, other solute ("unknown", diphenyl, benzoic acid, salicylic acid, p-nitrotoluene).
Beckman freezing point apparatus, Beckman thermometer, cyclohexane, naphthalene, other solute ("unknown", such as p-dichlorobenzene, biphenyl, p- bromochlorobenzene).
Directions

Molecular Weight Apparatus-Boiling Point,
Cottrell-Choppin, T. Grindings, PYREX Brand Glass.
Basic Cottrell design, but of heavy construction
with separate pump, reducing fragility and a three way stopcock permitting
the withdrawal of samples from boiling tube or condenser or the return
of condensate to the vessel. For technique, refer to Journal of Chemical
Education, 24, 491 (1947). For thermometer with T grinding,
see S-62004. For condenser, see S-22530-B. T grindings, outer part, No.
19/38 are provided to receive thermometer and condenser. The inner and
outer elements are joined by a T grinding No. 45/50. Overall height, 310
mm: overall width, 115 mm.
Molecular
Weight Apparatus- Freezing Point, Beckmann
Improved form, intended for use of sample pellets
prepared in presses. Consists of a freezing point tube, 190 mm by
25 mm, with a side tubulature for the introduction of pellets, tub
being supported by a rubber stopper in an air jacket tube 150 x 37 mm
which rests in a corresponding hole in a nickel plated brass cover fitted
to a glass freezing job, S-43725-D.
The freezing point tube is equipped with stopper
through which are inserted a Beckmann thermometer and a chromel wire stirrer,
the latter operating through a small piece of glass tubing inserted in
the stopper. The internal stirrer is finished in a ring form agitating
end which moves vertically within the freezing point tube and is so adjusted
as to clear the Beckmann thermometer bulb when located in the center of
the tube.

Thermometer-Beckmann Differential, Upward
Scale
For accurate measurements of very small temperature
differentials such as those encountered in boiling point determinations
and calorimeter measurements. The range covers approximately 5oC
graduated in 1/100o subdivisions. Has a mercury reservoir with
auxiliary scale providing a rough indication of the amount of mercury to
be trapped in the reservoir to provide the desired operating range. A dropping
trap is included. This instrument can be used only for determining temperature
differences.
Thermometer-Beckmann Differential, Downward Scale
Similar to the 14-5905 Thermometer, but for measurement
of small differentials in freezing point and molecular weight determinations,
and with scale reading downward. Subdivided to 1/100o.
| ||||||